某分项工程施工采用方案A的成本为5万元,在相同条件下,采用其他方案的合理成本为4.5万元。对方案A实施价值工程时,可以认为方案A的价值系数为( )。 ...

作者: tihaiku 人气: - 评论: 0
问题 某分项工程施工采用方案A的成本为5万元,在相同条件下,采用其他方案的合理成本为4.5万元。对方案A实施价值工程时,可以认为方案A的价值系数为( )。 A. 0.90 B. 0.10 C. 0.53 D. 1.11
选项
答案 A
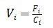
解析 2011年建设工程经济真题第41题 本题主要考查了功能价值的计算。 价值工程中价值系数的计算公式 题目中设定在相同条件下,且采用其他方案的合理成本为4.5万元。故可假定其他方案为最优方案(即Vi=1),其功能成本为4.5万元;则A方案的功能评价值为4.5万元,A方案的功能的实际投入为5万元,所以A方案的价值=4.5/5=0.9。 因此,本题正确答案为A项。

相关内容:分项,工程施工,方案,成本,5万元,4.5万元,价值工程,价值,系数

猜你喜欢

发表评论
更多 网友评论0 条评论)
暂无评论

访问排行

Copyright © 2012-2014 恰考网 Inc. 保留所有权利。 Powered by tikuer.com

页面耗时0.0432秒, 内存占用1.05 MB, Cache:redis,访问数据库19次