某建设项目建安工程费为1500万元,设备购置费400万元,工程建设其他费300万元,已知基本预备费率为5%,项目建设前期年限为0.5年,建设期为2年,每年...

作者: tihaiku 人气: - 评论: 0
问题 某建设项目建安工程费为1500万元,设备购置费400万元,工程建设其他费300万元,已知基本预备费率为5%,项目建设前期年限为0.5年,建设期为2年,每年完成投资的50%,年均投资价格上涨率为7%,则该项目的预备费为()万元。
选项 A:273.11 B:336.23 C:346.39 D:358.21
答案 D
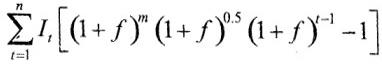
解析 基本预备费=(1500+400+300)*5%=110(万元)。静态投资=1500+400+300+110=2310(万元)涨价预备费=,则建设期第一年投资2310*50%=1155(万元)第一年涨价预备费=1155*[(1+7%)0.5*(1+7%)0.5*(1+7%)1-1-1]=80.85(万元);建设期第二年投资2310*50%=1155万元。第二年涨价预备费=1155*[(1+7%)0.5*(1+7%)0.5*(1+7%)2-1-1]=167.36(万元);预备费=基本预备费+涨价预备费=110+80.85+167.36=358.21(万元)。

相关内容:建设项目,工程费,1500万元,设备,购置费,400万元,工程建设,300万元,预备,费率,项目建设,前期,年限,0.5年,建设

猜你喜欢

发表评论
更多 网友评论0 条评论)
暂无评论

访问排行

Copyright © 2012-2014 恰考网 Inc. 保留所有权利。 Powered by tikuer.com

页面耗时0.0540秒, 内存占用1.05 MB, Cache:redis,访问数据库19次