(2019年真题)某新建项目,建设期为2年,分年均衡进行贷款,第一年贷款200万元,第二年贷款300万元,贷款利息只计息不支付,年利率为10%的情况下,该...

作者: tihaiku 人气: - 评论: 0
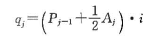
问题 (2019年真题)某新建项目,建设期为2年,分年均衡进行贷款,第一年贷款200万元,第二年贷款300万元,贷款利息只计息不支付,年利率为10%的情况下,该项目应计建设期贷款利息为()万元。
选项 A.36.00 B.46.00 C.52.00 D.70.00
答案 B
解析 P31-32 根据建设期利息的计算公式 第一年贷款利息为:(200/2)*10%=10万元 第二年贷款利息为:(200+10+300/2)*10%=36万元 该项目应计建设期贷款利息为:10+36=46万元

相关内容:2019年,真题,项目,建设,贷款,第一年,200万元,第二年,300万元,利息,支付,年利率

猜你喜欢

发表评论
更多 网友评论0 条评论)
暂无评论

访问排行

Copyright © 2012-2014 恰考网 Inc. 保留所有权利。 Powered by tikuer.com

页面耗时0.0365秒, 内存占用1.05 MB, Cache:redis,访问数据库20次