某工程项目业主采用工程量清单计价方式公开招标确定了承包人甲.双方签订了工程承包合同,合同工期为6个月。合同中的清单项目及费用包括:分项工程项目4项.总费用...

作者: tihaiku 人气: - 评论: 0
问题 某工程项目业主采用工程量清单计价方式公开招标确定了承包人甲.双方签订了工程承包合同,合同工期为6个月。合同中的清单项目及费用包括:分项工程项目4项.总费用为200万元,相应专业措施费用为16万元;安全文明施工措施费用为6万元;计日工费用为3万元;暂列金额为12万元;特种门窗工程(专业分包)暂估价为30万元,总承包服务费为专业分包工程费用的5%;规费和税金综合税率为15%。 各分项工程项目费用及相应专业措施费用、施工进度,见表6—8。 合同中有关付款条款约定如下: 1.工程预付款为签约合同价(扣除暂列金额)的20%,于开工之日前10天支付。在工期最后2个月的工程款中平均扣回。 2.分项工程项目费用及相应专业措施费用按实际进度逐月结算。 3.安全文明施工措施费用在开工后的前2个月平均支付。 4.计日工费用、特种门窗专业费用预计发生在第5个月,并在当月结算。 5.总承包服务费、暂列金额按实际发生额在竣工结算时一次性结算。 6.业主按每月工程款的90%给承包商付款。 7.竣工结算时扣留工程实际总造价的5%作为质保金。 问题: 1.该工程签约合同价为多少万元 工程预付款为多少万元 2.列式计算第3个月末时的工程进度偏差,并分析工程进度情况(以投资额表示)。 3.计日工费用、特种门窗专业费用均按原合同价发生在第5个月.列式计算第5个月末业主应支付给承包商的工程款为多少万元 4.在第6个月发生的工程变更、现场签证等费用为10万元,其他费用均与原合同价相同。列式计算该工程实际总造价和扣除质保金后承包商应获得的工程款总额为多少万元 (费用计算以万元为单位,结果保留3位小数) 5.乙承包商分包了某专业分项工程,分包合同中规定:工程量为2400m3;合同工期为30天,6月11日开工,7月10日完工;逾期违约金为1000元/天。 该分包商根据企业定额规定:正常施工情况下(按计划完成每天安排的工作量),采用计日工资的日工资标准为60元/工日(折算成小时工资为7.5元//b时)。延时加班,每小时按小时工资标准的120%计;夜间加班,每班按日工资标准的130%计。 该分包商原计划每天安排20人(按8小时计算)施工.由于施工机械调配出现问题,致使该专业分项工程推迟到6月18日才开工。为了保证按合同工期完工,分包商可采取延时加班(每天延长工作时间,不超过4小时)或夜间加班(每班按8小时计算)两种方式赶工。延时加班和夜间加班的人数与正常作业的人数相同。 若采取每天延长工作时间方式赶工,延时加班时间内平均降效10%,每天需增加多少工作时间(按小时计算,计算结果保留2位小数) 每天需额外增加多少费用 若采取夜间加班方式赶工,加班期内白天施工平均降效5%,夜间施工平均降效15%,需加班多少天 (计算结果四舍五入取整) 若夜间施工每天增加其他费用100元,每天需额外增加多少费用 从经济角度考虑,该分包商是否应该采取赶工措施 说明理由。假设分包商需赶工.应采取哪一种赶工方式
选项
答案
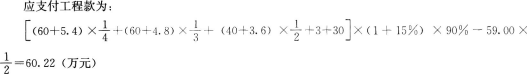
解析 问题1: 签约合同价: [200+16+6+3+12+30(1+3.5%)](1+15%)=308.78(万元) 工程预付款: [308.78-12(1+15%)]20%=59.00(万元) 问题2: 第3个月末累计拟完工程计划投资: [40+2.2+(60+5.4)2/3+(60+4.8)1/3+6](1+15%)=130.41(万元) 第3个月末累计已完工程计划投资: 问题3: 问题4: 实际总造价: 308.78-(12-10)(1+15%)=306.63(万元) 或[200+16+6+3+30(1+5%)+10](1+15%)=306.68(万元) 承包商应获得工程款总额: 306.63(1-5%)=294.36(万元) 问题5: 该分包商推迟开工延误的时间:18-11=7(天) 该分包商延误的工时数:7820=1120(小时) 每天需额外增加费用:96020130%+9100=14940(元) 若该分包商不采取赶工措施,逾期违约金:10007=7000(元) 该分包商不应采取赶工措施。 理由:不论分包商采取何种赶工方式所额外增加的费用均大于逾期违约金.所以从经济角度考虑,该分包商不应该采取赶工措施。 因为11219.4元<14940元,所以假设分包商需赶工,应采取每天延长工作时问方式赶工。

相关内容:工程项目,业主,工程量,清单,计价,方式,招标,承包人,双方,工程承包,合同,工期,6个月,项目,费用,分项

猜你喜欢

发表评论
更多 网友评论0 条评论)
暂无评论

Copyright © 2012-2014 恰考网 Inc. 保留所有权利。 Powered by tikuer.com

页面耗时0.0350秒, 内存占用1.06 MB, Cache:redis,访问数据库19次