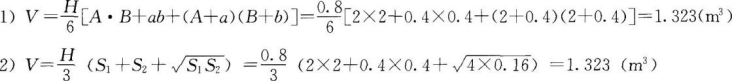
有一钢筋混凝土独立基础(尺寸如图),其混凝土工程量为( )m3。 A.3.26 B.2.92 C.1.32 D.1.66

作者: tihaiku 人气: - 评论: 0
问题 有一钢筋混凝土独立基础(尺寸如图),其混凝土工程量为( )m3。
选项 A.3.26 B.2.92 C.1.32 D.1.66
答案 B
解析 混凝土基础工程量无论是现浇还是预制,都是以体积立方米计算且不扣除内含的钢筋铁件。整个基础有下面的六面体和上面的四棱台组成。 (1)六面体体积:2×2×0.4=1.6(m3) (2)四棱台体积: 有三种方法可计算: 3)用立体几何四角锥体积求得: 延长四侧面交于0点,形成上面的小四角锥,四棱台的体积看成是大四角锥减少四角锥。 新教材389-408

相关内容:钢筋混凝土,基础,尺寸,如图,混凝土,工程量,A.3.26,B.2.92,C.1.32,D.1.66

猜你喜欢

发表评论
更多 网友评论0 条评论)
暂无评论

访问排行

Copyright © 2012-2014 恰考网 Inc. 保留所有权利。 Powered by tikuer.com

页面耗时0.0573秒, 内存占用1.04 MB, Cache:redis,访问数据库19次