砖混结构二层住宅,基础平面图见图1,基础剖面图见图2,首层平面图见图3,二层平面图见图4;外墙墙身高5.88m,室外地坪标高为-0.2m;设混凝土基础与灰...

作者: rantiku 人气: - 评论: 0
问题 砖混结构二层住宅,基础平面图见图1,基础剖面图见图2,首层平面图见图3,二层平面图见图4;外墙墙身高5.88m,室外地坪标高为-0.2m;设混凝土基础与灰土垫层施工均不留工作面,人工挖沟槽从灰土垫层下表面开始放坡,土质为二类土,放坡系数K取0.5;TL-1为楼梯梁,钢筋混凝土屋面板上表面高度为6m,每层高均为3m;内外墙厚均为240mm,外墙±均有女儿墙,高600mm,厚240mm;预制钢筋混凝土楼板、n面板厚度均为 120mm;外墙上的过梁、圈梁体积为2.5立方米,内墙上的过梁、圈梁体积为1.5立方米;门窗洞口尺寸:C1为1500mm×l200mm,M1为 900mm×2000mm,M2为1000mm×2100mm.阳台为敞开式阳台。请计算以下工程量 1. 建筑面积 2. 平整场地 3. 人工挖沟槽 4. 门、窗 5. 砖外墙 6. 砖内墙 7. 钢筋混凝土基础模板工程量 8. 基础中直径为12mm的钢筋工程量 9. 基础混凝土工程量(直径12mm的钢筋每米长度的重量为0.888kg)
选项
答案
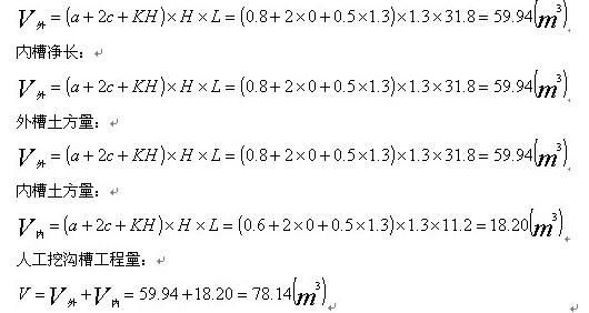
解析 1. 建筑面积   [(2.1+4.2+0.12×2)×(3+3.3+0.12×2)+(4.2+0.12×2)×3.3]×2+2.1×3.3×1/2 =[6.54×6.54+4.44×3.3]×2+3.465=118.3l(平方米)   2. 平整场地工程量计算 3. 人工挖沟槽工程量计算   外槽中心线长:4. 门、窗   门面积=1.00×2.10+0.90×2.00×5=11.10(平方米)   窗面积=1.50×1.20×3×2=10.80(平方米)   5. 砖外墙   外墙中心线长=(2.1+4.2+3+3.3+3.3)×2=31.80(平方米)   外墙门窗面积=1.50×1.20×3×2+1.00×2.10+0.9×2.00=10.8+2.10+1.80 =14.70(平方米)   砖女儿墙体积=31.8×0.6×0.24=4.58(立方米)   砖外墙工程量=(外墙中心线长×外墙高度—外墙门窗面积)×墙厚—过梁圈梁体积+砖女儿墙体积=(31.8×5.88-14.7)×0.24-2.5+4.58=43.43(立方米)   6. 砖内墙   内墙净长=(4.2-0.12×2)+(4.2+2.1-0.12×2)=10.02(m)   内墙门面积=0.90×2.00×2×2=7.2(平方米)   每层内墙墙身高度=层高—混凝土板厚=3-0.12=2.88(m)   砖内墙工程量=(内墙净长×每层内墙墙身高度×层数—内墙门面积)×墙厚—过梁圈梁体积=(10.02×2.88×2-7.2)×0.24-1.5=10.62(立方米)   7. 钢筋混凝土基础模板工程量   外墙钢筋混凝土基础中心线长=(2.1+4.2+3+3.3+3.3)×2=31.8(m)   模板工程量=0.3×2×31.8=19.08(平方米)   8. 基础直径12mm钢筋工程量   钢筋长度=31.8×4=127.2(m)   钢筋重量=0.888×127.2=112.95(kg)   9. 混凝土工程量   混凝土工程量=0.3×(0.2+0.24+0.2)×31.8=6.11(立方米)

猜你喜欢

发表评论
更多 网友评论0 条评论)
暂无评论

访问排行

Copyright © 2012-2014 恰考网 Inc. 保留所有权利。 Powered by tikuer.com

页面耗时0.0486秒, 内存占用1.03 MB, Cache:redis,访问数据库15次