某建设项目前两年每年年末投资400万元,从第3年开始,每年年末等额回收260万 元,项目计算期为10年。设基准收益率为10%,则该项目的财务净现值为( )...

作者: rantiku 人气: - 评论: 0
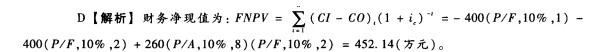
问题 某建设项目前两年每年年末投资400万元,从第3年开始,每年年末等额回收260万 元,项目计算期为10年。设基准收益率为10%,则该项目的财务净现值为( )万元。 A. 256.79 B. 347.92 C. 351.90 D. 452.14
选项
答案 D
解析

猜你喜欢

发表评论
更多 网友评论0 条评论)
暂无评论

访问排行

Copyright © 2012-2014 恰考网 Inc. 保留所有权利。 Powered by tikuer.com

页面耗时0.0685秒, 内存占用1.03 MB, Cache:redis,访问数据库18次