某网络计划中,工作A的紧后工作是B和C,工作的最迟时间是14,最早开始时间 是10;工作C的最迟完成时间是16,最早完成时间是14;工作A与工作B和工作 ...

作者: tihaiku 人气: - 评论: 0
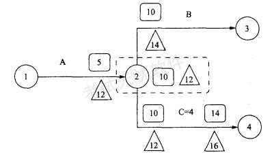
问题 某网络计划中,工作A的紧后工作是B和C,工作的最迟时间是14,最早开始时间 是10;工作C的最迟完成时间是16,最早完成时间是14;工作A与工作B和工作 C的间隔时间均为5天,工作A的总时差为( )天。
选项 A. 3 B. 7 C. 8 D. 10
答案 B
解析 如下图所示,A工作的总时差=12-5 = 7 (天)。

相关内容:网络,计划,工作,时间

猜你喜欢

发表评论
更多 网友评论0 条评论)
暂无评论

访问排行

Copyright © 2012-2014 恰考网 Inc. 保留所有权利。 Powered by tikuer.com

页面耗时0.0748秒, 内存占用1.05 MB, Cache:redis,访问数据库20次