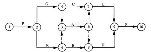
某工程施工进度计划如下图所示,下列说法中,正确的有( )。 A. R的紧后工作有A、B B. E的紧前工作只有C C. D的紧后工作只有F D. ...

作者: tihaiku 人气: - 评论: 0
问题 某工程施工进度计划如下图所示,下列说法中,正确的有( )。 A. R的紧后工作有A、B B. E的紧前工作只有C C. D的紧后工作只有F D. P没有紧前工作E.
选项 A、B的紧后工作都有D
答案 ACDE
解析 略。

相关内容:工程施工,进度,计划,下图,说法,工作,紧前,只有

猜你喜欢

发表评论
更多 网友评论0 条评论)
暂无评论

访问排行

Copyright © 2012-2014 恰考网 Inc. 保留所有权利。 Powered by tikuer.com

页面耗时0.0348秒, 内存占用1.03 MB, Cache:redis,访问数据库15次