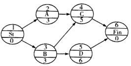
单代号网络计划如右图所示(时间单位:天),工作C的最迟开始时间是()A . 4 B . 3 C . 1 D . 0

作者: tihaiku 人气: - 评论: 0
问题 单代号网络计划如右图所示(时间单位:天),工作C的最迟开始时间是()
选项 A . 4 B . 3 C . 1 D . 0
答案 A
解析 最迟开始时间等于该工作的最早开始时间与其总时差之和。

相关内容:单代号,代号,网络,计划,右图,时间,单位,工作

猜你喜欢

发表评论
更多 网友评论0 条评论)
暂无评论

访问排行

Copyright © 2012-2014 恰考网 Inc. 保留所有权利。 Powered by tikuer.com

页面耗时0.0422秒, 内存占用1.05 MB, Cache:redis,访问数据库20次