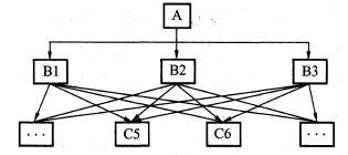
下图所示的项目组织结构模式的特点有( )。 A.每一个部门可根据其职能对其直接和非直接的下属部门下达指令 B.每一个部门可能得到其直接和非直接的上...

作者: tihaiku 人气: - 评论: 0
问题 下图所示的项目组织结构模式的特点有( )。
选项 A.每一个部门可根据其职能对其直接和非直接的下属部门下达指令 B.每一个部门可能得到其直接和非直接的上级部门下达的工作指令 C.每一个部门可能会有多个矛盾的指令源 D.上下级指令传递路径较长 E.矛盾的指令会影响项目管理机制的运行
答案 ABCE
解析 P14

相关内容:下图,项目,组织,特点,部门,根据,职能,指令,可能,其直

猜你喜欢

发表评论
更多 网友评论0 条评论)
暂无评论
错误啦!

错误信息

  • 消息: [程序异常] : MISCONF Redis is configured to save RDB snapshots, but it's currently unable to persist to disk. Commands that may modify the data set are disabled, because this instance is configured to report errors during writes if RDB snapshotting fails (stop-writes-on-bgsave-error option). Please check the Redis logs for details about the RDB error.
  • 文件: /twcms/kongphp/cache/cache_redis.class.php
  • 位置: 第 85 行
    <?php echo 'KongPHP, Road to Jane.'; ?>