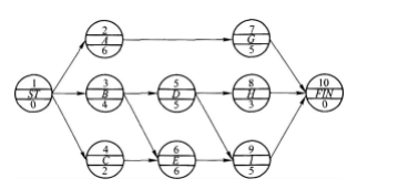
下列单代号网络图所表示的项目计算工期为( )天。 A. 12 B. 13 C. 14 D. 15

作者: tihaiku 人气: - 评论: 0
问题 下列单代号网络图所表示的项目计算工期为( )天。
选项 A. 12 B. 13 C. 14 D. 15
答案 D
解析 ST—B—E—I—FIN 为关键路径,其工作持续时间总和为15天,数值最大,故选D。

相关内容:单代号,代号,网络,图所,项目,工期

猜你喜欢

发表评论
更多 网友评论0 条评论)
暂无评论

访问排行

Copyright © 2012-2014 恰考网 Inc. 保留所有权利。 Powered by tikuer.com

页面耗时0.0597秒, 内存占用1.04 MB, Cache:redis,访问数据库18次