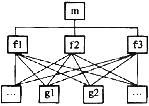
下图所示的职能组织结构中,m、f1、f2、f3、g1、g2等分别代表不同的工作部门或主管人员。这个组织结构表明()。 A.m只可以指挥g1和g2 ...

作者: tihaiku 人气: - 评论: 0
问题 下图所示的职能组织结构中,m、f1、f2、f3、g1、g2等分别代表不同的工作部门或主管人员。这个组织结构表明()。
选项 A.m只可以指挥g1和g2 B.g3只接受f3下达的指令 C.g1只可直接接受m的指令 D.g可接受f1、f2和f3的直接指挥
答案 D
解析 教材P13页 1.职能组织结构的特点及其应用在职能组织结构中,每一个职能部门可根据它的管理职能对其直接和非直接的下属工作部门下达工作指令。因此,每一个工作部门可能得到其直接和非直接的上级工作部门下达的工作指令。

相关内容:下图,职能,组织结构,代表,工作部门,主管,人员,指挥

猜你喜欢

发表评论
更多 网友评论0 条评论)
暂无评论

访问排行

Copyright © 2012-2014 恰考网 Inc. 保留所有权利。 Powered by tikuer.com

页面耗时0.0645秒, 内存占用1.04 MB, Cache:redis,访问数据库15次