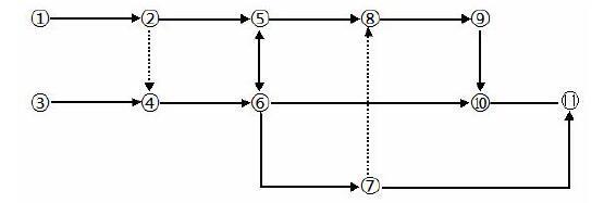
根据双代号网络图绘图规则,下列网络图中错误的有( )处。   A.5   B.4   C.3   D.2

作者: tihaiku 人气: - 评论: 0
问题 根据双代号网络图绘图规则,下列网络图中错误的有( )处。
选项   A.5   B.4   C.3   D.2
答案 B
解析 本题考查的是双代号网络计划的绘图规则.错误: (1)有① ③两个开始节点;(2)⑤⑥之间有双向箭头;(3)⑩?之 间的连线无箭头;(4)无终点节点。 参见教材P133。

相关内容:根据,代号,网络,绘图,规则,图中,错误

猜你喜欢

发表评论
更多 网友评论0 条评论)
暂无评论

访问排行

Copyright © 2012-2014 恰考网 Inc. 保留所有权利。 Powered by tikuer.com

页面耗时0.0471秒, 内存占用1.05 MB, Cache:redis,访问数据库18次