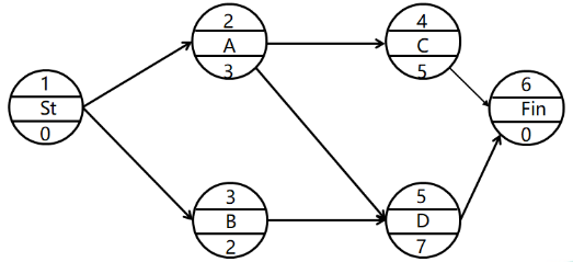
单代号网络计划中,工作C的已知时间参数(单位:天)标注如下图所示,则该工作的最迟开始时间,最早完成时间和总时差分别是( )天。 A.3、10、5 ...

作者: tihaiku 人气: - 评论: 0
问题 单代号网络计划中,工作C的已知时间参数(单位:天)标注如下图所示,则该工作的最迟开始时间,最早完成时间和总时差分别是( )天。

选项 A.3、10、5 B.3、8、5 C.5、10、2 D.5、8、2
答案 D
解析 本题考查的是单代号网络计划。ESC=3天,EFC=3+5=8天,LFCTC=3+7=10天,TFC=10-8=2天,LSC=10-5=5天。

相关内容:单代号,代号,网络,计划,工作,时间,参数,单位,标注,下图,总时,差分

猜你喜欢

发表评论
更多 网友评论0 条评论)
暂无评论

访问排行

Copyright © 2012-2014 恰考网 Inc. 保留所有权利。 Powered by tikuer.com

页面耗时0.0468秒, 内存占用1.04 MB, Cache:redis,访问数据库17次