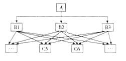
某企业管理运用的组织结构模式如下图所示,对下图表述正确的有()。 A.A、B1、B2、B3、C5和C6都是工作部门 B.该图为矩阵组织结构模式 ...

作者: tihaiku 人气: - 评论: 0
问题 某企业管理运用的组织结构模式如下图所示,对下图表述正确的有()。
选项 A.A、B1、B2、B3、C5和C6都是工作部门 B.该图为矩阵组织结构模式 C.B1、B2、B3都可以在其管理的职能范围内对C5和C6下达指令 D.每一个工作部门只有一个直接的上级部门 E.有些指令可能是矛盾的
答案 ACE
解析 新教材P14页 在图2Z101022-3所示的职能组织结构中,A、B1、B2、B3、C5和C6都是工作部门,A可以对B1、B2、B3下达指令;B1、B2、B3都可以在其管理的职能范围内对C5和C6下达指令;因此C5和C6有多个指令源,其中有些指令可能是矛盾的。

相关内容:企业管理,组织,下图,表述,工作部门,矩阵

猜你喜欢

发表评论
更多 网友评论0 条评论)
暂无评论

访问排行

Copyright © 2012-2014 恰考网 Inc. 保留所有权利。 Powered by tikuer.com

页面耗时0.0707秒, 内存占用1.04 MB, Cache:redis,访问数据库13次