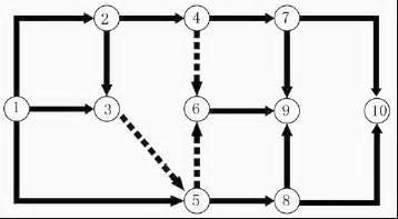
某工程单目标双代号网络计划如下图所示,图中的错误是( )。 A.有多个起点节点 B.有多个终点节点 C.有双向箭头联线 D.有循环回路

作者: tihaiku 人气: - 评论: 0
问题 某工程单目标双代号网络计划如下图所示,图中的错误是( )。
选项 A.有多个起点节点 B.有多个终点节点 C.有双向箭头联线 D.有循环回路
答案 B
解析

相关内容:工程,单目标,目标,代号,网络,计划,下图,错误,起点,节点,终点,箭头,循环,回路

猜你喜欢

发表评论
更多 网友评论0 条评论)
暂无评论

访问排行

Copyright © 2012-2014 恰考网 Inc. 保留所有权利。 Powered by tikuer.com

页面耗时0.0613秒, 内存占用1.03 MB, Cache:redis,访问数据库13次