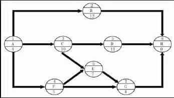
某单代号网络计划如下图,其关键线路有( ) A.①—③—⑤—⑧ B.①—②—⑧ C.①—③—⑥—⑦—⑧ D.①—④—⑦—⑧ E.①—④—⑥—⑦—⑧

作者: tihaiku 人气: - 评论: 0
问题 某单代号网络计划如下图,其关键线路有( )
选项 A.①—③—⑤—⑧ B.①—②—⑧ C.①—③—⑥—⑦—⑧ D.①—④—⑦—⑧ E.①—④—⑥—⑦—⑧
答案 AC
解析

相关内容:某单,代号,网络,计划,下图,关键,线路

猜你喜欢

发表评论
更多 网友评论0 条评论)
暂无评论

访问排行

Copyright © 2012-2014 恰考网 Inc. 保留所有权利。 Powered by tikuer.com

页面耗时0.0377秒, 内存占用1.05 MB, Cache:redis,访问数据库19次