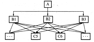
下图所示的项目组织结构模式的特点有( )。 A.每一个部门可根据其职能对其直接和非直接的下属部门下达指令 B.每一个部门可能得到其直接和非直接的上...

作者: tihaiku 人气: - 评论: 0
问题 下图所示的项目组织结构模式的特点有( )。
选项 A.每一个部门可根据其职能对其直接和非直接的下属部门下达指令 B.每一个部门可能得到其直接和非直接的上级部门下达的工作指令 C.每一个部门可能会有多个矛盾的指令源 D.上下级指令传递路径较长 E.矛盾的指令会影响项目管理机制的运行
答案 ABCE
解析

相关内容:下图,项目,组织,特点,部门,根据,职能,指令,可能,其直

猜你喜欢

发表评论
更多 网友评论0 条评论)
暂无评论

访问排行

Copyright © 2012-2014 恰考网 Inc. 保留所有权利。 Powered by tikuer.com

页面耗时0.0352秒, 内存占用1.05 MB, Cache:redis,访问数据库19次