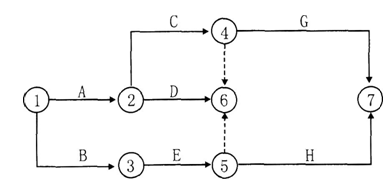
某分部工程双代号网络计划如下图所示,根据双代号网络计划的绘图规则,其作图错误问题是( )。 A.节点编号不对 B.逻辑关系不对 C.有多个起点节...

作者: tihaiku 人气: - 评论: 0
问题 某分部工程双代号网络计划如下图所示,根据双代号网络计划的绘图规则,其作图错误问题是( )。
选项 A.节点编号不对 B.逻辑关系不对 C.有多个起点节点 D.有多个终点节点
答案 D
解析 在该双代号网络图中,可以看出节点编号无误,只有一个起点,符合绘图规则要求,故选项A、C正确。由于没有说明,故不能笼统判断该双代号网络图中逻辑关系正确与否,选项B也正确。由于该双代号网络图节点6和节点7均为终点节点,故选D。

相关内容:分部,工程,代号,网络,计划,下图,根据,绘图,规则,错误,节点,编号,逻辑,关系,起点

猜你喜欢

发表评论
更多 网友评论0 条评论)
暂无评论

访问排行

Copyright © 2012-2014 恰考网 Inc. 保留所有权利。 Powered by tikuer.com

页面耗时0.0666秒, 内存占用1.04 MB, Cache:redis,访问数据库14次