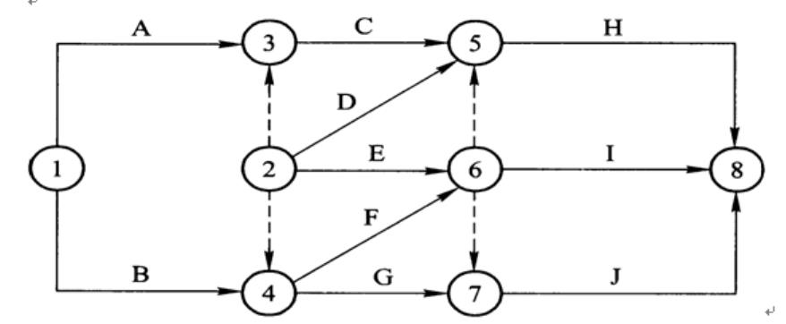
某分部工程中各项工作间逻辑关系和相应的双代号网络计划如下表和图所示,图中错误之处有( )。 A.多个终点节点 B.多个起点节点 C.工作代号...

作者: tihaiku 人气: - 评论: 0
问题 某分部工程中各项工作间逻辑关系和相应的双代号网络计划如下表和图所示,图中错误之处有( )。
选项 A.多个终点节点 B.多个起点节点 C.工作代号重复 D.不符合给定逻辑关系 E.节点编号有误
答案 BDE
解析 表中G紧后工作为I、J,图中G紧后工作只有J,不符合给定逻辑关系。节点1和2均为起点节点。图中节点5和6箭头方向错误,应该将5、6节点调换。

猜你喜欢

发表评论
更多 网友评论0 条评论)
暂无评论

访问排行

Copyright © 2012-2014 恰考网 Inc. 保留所有权利。 Powered by tikuer.com

页面耗时0.0579秒, 内存占用1.03 MB, Cache:redis,访问数据库20次