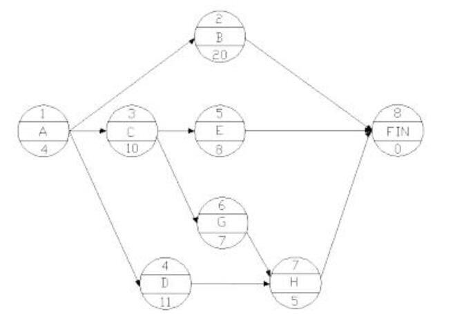
某单代号网络计划如下图, 工作 D、 H 之间的时间间隔是( ) 天。 A.0 B.1 C.6 D.7

作者: tihaiku 人气: - 评论: 0
问题 某单代号网络计划如下图, 工作 D、 H 之间的时间间隔是( ) 天。
选项 A.0 B.1 C.6 D.7
答案 C
解析

相关内容:某单,代号,网络,计划,下图,工作,时间,间隔

猜你喜欢

发表评论
更多 网友评论0 条评论)
暂无评论

访问排行

Copyright © 2012-2014 恰考网 Inc. 保留所有权利。 Powered by tikuer.com

页面耗时0.0564秒, 内存占用1.03 MB, Cache:redis,访问数据库13次