某工程的时标网络计划如下图所示,下列工期延误事件中,属于共同延误的( )。 A.工作A 因发包人原因和工作B 因承包人原因各延误2 周 B.工作C...

作者: tihaiku 人气: - 评论: 0
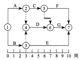
问题 某工程的时标网络计划如下图所示,下列工期延误事件中,属于共同延误的( )。
选项 A.工作A 因发包人原因和工作B 因承包人原因各延误2 周 B.工作C 因发包人原因和工作G 因承包人原因各延误2 周 C.工作D 因发包人原因和工作F 因承包人原因各延误2 周 D.工作E 因发包人原因和工作F 因承包人原因各延误2 周
答案 A
解析 当两个或两个以上的延误事件从发生到终止的时间完全相同时,这些事件引起的延误称为共同延误。结合题中的时标网络图可知,A 选项符合共同延误的定义。所以A正确。

相关内容:工程,时标,网络,计划,下图,工期,事件,工作,因发,原因,承包人

猜你喜欢

发表评论
更多 网友评论0 条评论)
暂无评论

访问排行

Copyright © 2012-2014 恰考网 Inc. 保留所有权利。 Powered by tikuer.com

页面耗时0.0319秒, 内存占用1.05 MB, Cache:redis,访问数据库19次