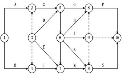
某分部工程双代号网络计划如下图所示,其存在的绘图错误有( )。 A、多个终点节点 B、存在循环回路 C、多个起点节点 D、节点编号有误 ...

作者: tihaiku 人气: - 评论: 0
问题 某分部工程双代号网络计划如下图所示,其存在的绘图错误有( )。
选项 A、多个终点节点 B、存在循环回路 C、多个起点节点 D、节点编号有误 E、有多余虚工作
答案 CDE
解析 【知识点】建设工程项目进度计划的编制和调整方法。有多个起点节点①和③;有两个⑧节点和节点指向错误③→②,故节点编号错误;有多余虚工作③→②和③→④。参见教材P130~132。

相关内容:分部,工程,代号,网络,计划,下图,其存,绘图,错误,终点,节点,循环,回路,起点,编号

猜你喜欢

发表评论
更多 网友评论0 条评论)
暂无评论

访问排行

Copyright © 2012-2014 恰考网 Inc. 保留所有权利。 Powered by tikuer.com

页面耗时0.0315秒, 内存占用1.05 MB, Cache:redis,访问数据库18次