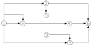
根据《工程网络计划技术规程》JQJ/T121-2015,网络图存在的绘图错误是( )。 A、编号相同的工作 B、多个起点节点 C、相同的节点...

作者: tihaiku 人气: - 评论: 0
问题 根据《工程网络计划技术规程》JQJ/T121-2015,网络图存在的绘图错误是( )。
选项 A、编号相同的工作 B、多个起点节点 C、相同的节点编号 D、无箭尾节点的箭线
答案 A
解析 【知识点】工程网络计划的编制方法。①→②有两个工作,所以有编号相同的两个工作。参见教材P127。

相关内容:根据,工程网络计划技术规程,T121-2015,网络,图存,绘图,错误,编号,工作,起点,节点

猜你喜欢

发表评论
更多 网友评论0 条评论)
暂无评论

访问排行

Copyright © 2012-2014 恰考网 Inc. 保留所有权利。 Powered by tikuer.com

页面耗时0.0365秒, 内存占用1.04 MB, Cache:redis,访问数据库14次