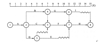
工程时标网络图如下,下列说法中正确的有(  )。 A.工作A的最迟完成时间为3天 B.如果工作D拖后2天,影响工期1天 C.工作E的总时差为3天 ...

作者: tihaiku 人气: - 评论: 0
问题 工程时标网络图如下,下列说法中正确的有(  )。
选项 A.工作A的最迟完成时间为3天 B.如果工作D拖后2天,影响工期1天 C.工作E的总时差为3天 D.工作I的总时差为2天 E.关键线路有两条
答案 ADE
解析 从该双代号时标网络计划可以看出,关键线路有两条:A—B—G—H和A—C—F—H,A工作的最迟完成时间LFA=EFA=3,D工作的总时差TFD=LFD=EFD=7-5=2,所以工作D拖后两天不影响总工期,E工作的总时差TFE=LFE=EFE=11-9=2,I工作的总时差TFI=15-13=2,所以A、D、E正确。

相关内容:工程,时标,网络,如下,说法,工作,时间,拖后,影响,工期,时差

猜你喜欢

发表评论
更多 网友评论0 条评论)
暂无评论

访问排行

Copyright © 2012-2014 恰考网 Inc. 保留所有权利。 Powered by tikuer.com

页面耗时0.0320秒, 内存占用1.05 MB, Cache:redis,访问数据库19次