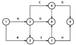
根据下表逻辑关系控制的双代号网络图,图中存在的作图错误是( )。 A. 有多个终点节点 B. 节点编号不对 C. 逻辑关系不对 D. ...

作者: tihaiku 人气: - 评论: 0
问题 根据下表逻辑关系控制的双代号网络图,图中存在的作图错误是( )。
选项 A. 有多个终点节点 B. 节点编号不对 C. 逻辑关系不对 D. 有多个起点节点
答案 B
解析 本题考核的是双代号网络图的绘制。该双代号网络图中没有节点2,存在两个终点节点8和9,工作B和D绘制错误。

相关内容:根据,逻辑,关系,控制,代号,网络,图中,错误,终点,节点,编号

猜你喜欢

发表评论
更多 网友评论0 条评论)
暂无评论

访问排行

Copyright © 2012-2014 恰考网 Inc. 保留所有权利。 Powered by tikuer.com

页面耗时0.0288秒, 内存占用1.05 MB, Cache:redis,访问数据库18次