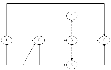
某双代号网络图如下图所示,存在的错误是()。 A.出现无箭头连线 B.出现无箭头节点连线 C.出现多个起点节点 D.工作代号相同

作者: tihaiku 人气: - 评论: 0
问题 某双代号网络图如下图所示,存在的错误是()。
选项 A.出现无箭头连线 B.出现无箭头节点连线 C.出现多个起点节点 D.工作代号相同
答案 D
解析 本题主要考查的是双代号网络计划。工作①→②,用两条箭线表示是错误的,在双代号网络图中每一项工作都必须用一条箭线和两个圆圈中的号码来表示。

相关内容:某双,代号,网络,图如,下图,错误,箭头,连线,节点,起点,工作

猜你喜欢

发表评论
更多 网友评论0 条评论)
暂无评论

访问排行

Copyright © 2012-2014 恰考网 Inc. 保留所有权利。 Powered by tikuer.com

页面耗时0.0306秒, 内存占用1.05 MB, Cache:redis,访问数据库19次