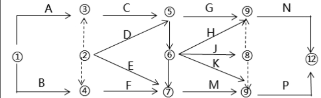
某双代号网络计划如下图,绘图的错误有()。2018真题 A、有多个终点节点 B、有多个起点节点 C、存在循环回路 D、有多余虚工作 E、节点...

作者: tihaiku 人气: - 评论: 0
问题 某双代号网络计划如下图,绘图的错误有()。2018真题
选项 A、有多个终点节点 B、有多个起点节点 C、存在循环回路 D、有多余虚工作 E、节点编号有误
答案 BDE
解析 本题考查的是双代号网络计划。选项B,有①和②两个起点节点。选项D,有多余虚工作②→③和②→④。选项E,有两个节点⑨。参见教材P123~124。

相关内容:某双,代号,网络,计划,下图,绘图,错误,真题,终点,节点,起点,循环,回路,工作

猜你喜欢

发表评论
更多 网友评论0 条评论)
暂无评论

访问排行

Copyright © 2012-2014 恰考网 Inc. 保留所有权利。 Powered by tikuer.com

页面耗时0.0491秒, 内存占用1.05 MB, Cache:redis,访问数据库19次