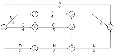
下图所示双代号网络计划的关键路线为( )。 A. ①-⑧ B. ①-②-⑥-⑧ C. ①-③-⑦-⑧ D. ①-④-⑤-⑦-⑧

作者: tihaiku 人气: - 评论: 0
问题 下图所示双代号网络计划的关键路线为( )。 A. ①-⑧ B. ①-②-⑥-⑧ C. ①-③-⑦-⑧ D. ①-④-⑤-⑦-⑧
选项
答案 D
解析 本题主要考查对双代号网络计划中的关键线路的理解。 双代号网络计划中,总的工作持续时间最长的线路为关键线路。四个选项的持续时间分别为9、10、13、14天,故D项正确。 综上所述,本题正确答案为D。

相关内容:下图,代号,网络,计划,关键,路线

猜你喜欢

发表评论
更多 网友评论0 条评论)
暂无评论

访问排行

Copyright © 2012-2014 恰考网 Inc. 保留所有权利。 Powered by tikuer.com

页面耗时0.0337秒, 内存占用1.05 MB, Cache:redis,访问数据库18次