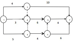
某工程双代号网络计划图如下:其中关键线路有( )条。 A. 1 B. 2 C. 3 D. 4

作者: tihaiku 人气: - 评论: 0
问题 某工程双代号网络计划图如下:其中关键线路有( )条。 A. 1 B. 2 C. 3 D. 4
选项
答案 B
解析 本题主要考查关键线路。 关键线路是工作持续时间最长的线路。可以通过计算路线工作时间得到。 本题中共有6条线路,对应的工作持续时间分别为: 所以关键线路是工作时间为15天的两条线路。 综上所述,本题正确选项是B项。

相关内容:工程,代号,网络,计划,如下,关键,线路

猜你喜欢

发表评论
更多 网友评论0 条评论)
暂无评论

访问排行

Copyright © 2012-2014 恰考网 Inc. 保留所有权利。 Powered by tikuer.com

页面耗时0.0342秒, 内存占用1.03 MB, Cache:redis,访问数据库14次