若已知设备目前实际价值、预计残值、基准年使用费、年劣化增量(每年相等),则在静态模式下,计算设备经济寿命时不需要考虑的参数是()。A:目前实际价值 B:...

作者: tihaiku 人气: - 评论: 0
问题 若已知设备目前实际价值、预计残值、基准年使用费、年劣化增量(每年相等),则在静态模式下,计算设备经济寿命时不需要考虑的参数是()。
选项 A:目前实际价值 B:预计残值 C:基准年使用费 D:年劣化增量
答案 C
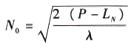
解析 静态模式下设备经济寿命的确定方法,就是在不考虑资金时间价值的基础上计算设备年平均成本。经济寿命的计算公式为:,式中,P表示实际价值,LN表示预计残值,λ表示年劣化值。

相关内容:设备,实际,价值,基准,使用费,增量,静态,模式,经济,寿命,参数

猜你喜欢

发表评论
更多 网友评论0 条评论)
暂无评论

访问排行

Copyright © 2012-2014 恰考网 Inc. 保留所有权利。 Powered by tikuer.com

页面耗时0.0643秒, 内存占用1.04 MB, Cache:redis,访问数据库13次