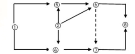
其工程双代号网络图如下图所示,存在的绘图错误是( )。 A、多个起点节点 B、多个终点节点 C、节点编号有误 D、存在循环回路

作者: tihaiku 人气: - 评论: 0
问题 其工程双代号网络图如下图所示,存在的绘图错误是( )。
选项 A、多个起点节点 B、多个终点节点 C、节点编号有误 D、存在循环回路
答案 A
解析 本题考查的是网络图的绘制。网络图中应只有一个起点节点和一个终点节点(任务中部分工作需要分期完成的网络计划除外),除网络图的起点节点和终点节点外,不允许出现没有外向箭线的节点和没有内向箭线的节点。图中节点①节点②均为起点节点。参见教材P118。

相关内容:工程,代号,网络,图如,下图,绘图,错误,起点,节点,终点,编号,循环,回路

猜你喜欢

发表评论
更多 网友评论0 条评论)
暂无评论

访问排行

Copyright © 2012-2014 恰考网 Inc. 保留所有权利。 Powered by tikuer.com

页面耗时0.0417秒, 内存占用1.05 MB, Cache:redis,访问数据库18次