某企业在第一年初向银行借款300万元用于购置设备,贷款年有效利率为8%,每半年计息一次,今后5年内每年6月底和12月底等额还本利息,则该企业每次偿还本息(...

作者: tihaiku 人气: - 评论: 0
问题 某企业在第一年初向银行借款300万元用于购置设备,贷款年有效利率为8%,每半年计息一次,今后5年内每年6月底和12月底等额还本利息,则该企业每次偿还本息( )万元。
选项 A.35.46 B.36.85 C.36.99 D.37.57
答案 B
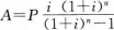
解析 根据题目给出的条件,画现金流量图: 关键是求半年的利率i,根据 其中ieff=一8%,i=r/m,m=2。 将数据代入后,i=3.92%,A=36.85万元。 关于等值计算考核点,关键是理解等值计算的6个公式和有效利率与名义利率的概念与换算关系,并能灵活运用。历年在该考核点的考核形式万变不离其宗,考生可以针对本考核点多做一些练习题,以加快做题速度。

相关内容:企业,银行,借款,300万元,设备,贷款,利率,年内,等额,利息,本息

猜你喜欢

发表评论
更多 网友评论0 条评论)
暂无评论

访问排行

Copyright © 2012-2014 恰考网 Inc. 保留所有权利。 Powered by tikuer.com

页面耗时0.0322秒, 内存占用1.04 MB, Cache:redis,访问数据库19次