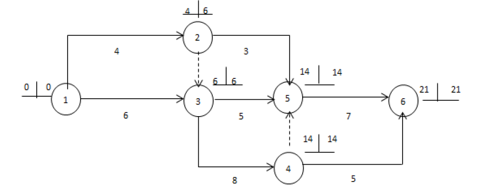
某工程双代号网络计划如图6-2所示,图中已标出各个节点的最早时间和最迟时间,该计划表明( )。
A.工作1-2的自由时差为2
B.工作2-5的总时差为...
相关内容:工程,代号,网络,计划,如图,6-2所示,图中,节点,时间,工作,时差
猜你喜欢
- 男,30岁,呼吸困难2天就诊,发作前有鼻痒,喷嚏。既往有类似病史。体检:呼吸26次/分,呼气末闻及哮鸣音,心率96次/分,律齐。
为判断病情程度,应作哪...
- A.大肠杆菌(8099)B.金黄色葡萄球菌(ATCC6538)C.白色念珠菌(ATCC6538)D.铜绿假单胞菌(ATCC15442)E....
- 人口数量和质量的变化,对地区和国家未来发展有很大影响。据此回答题。
上海出生人口性别比显示,2013年度,常住人口为109.6,其中户籍人口为10...
- 侯某于2019年将一套房屋租给赵某居住,双方约定租期一年,房租预付,半年一次,2019年6月30日赵某没有支付房租,侯某碍于情面亦未催要,2020年1月1...
- 我国各级基本医疗保险经办机构,其行政上隶属于A.民政部门B.卫生行政部门C.劳动保障部门D.各级人民政府E.社会组织
- B细胞经抗免疫球蛋白荧光抗体染色后,其表面呈现的荧光随时间的变化规律是A.环状-帽状-斑点状-消失B.环状-斑点状-帽状-消失C.斑点状环状-帽状...
- 既可作为顶棚B1级和墙面B1级的装修材料是()。A:纸面石膏板B:彩色阻燃人造板C:阻燃模压木质复合板D:轻质高强复合板
- 患者女性,18岁,3月前无明显诱因出现头晕,乏力,面色苍黄.20天前开始反复畏寒发热,体温波动于38~41℃之间,无咽痛,咳嗽,腹痛,腹泻及尿频,尿急,尿...
- “炒三仙”是指A:炒山楂、炒神曲、炒麦芽
B:炒神曲、炒麦芽、炒谷芽
C:炒神曲、炒枳实、炒山楂
D:炒谷芽、炒麦芽、炒稻芽
E:以上都不对
- A.恶露不绝B.产后腹痛C.妇人腹痛D.经行腹痛E.癥瘕女患者,自然分娩后7天,小腹隐痛,喜按,头晕眼花,心悸少寐,面色萎黄。舌淡苔少...