某建设项目工程费用为7200万元,工程建设其他费用为1800万元,基本预备费为400万元,项目前期年限1年,建设期3年,各年度完成投资计划额的比例分别为2...

作者: tihaiku 人气: - 评论: 0
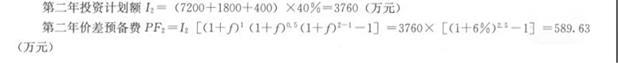
问题 某建设项目工程费用为7200万元,工程建设其他费用为1800万元,基本预备费为400万元,项目前期年限1年,建设期3年,各年度完成投资计划额的比例分别为20%、40%与40%,年涨价率为6%,则该项目建设期第二年价差预备费为()万元。
选项 A.451.63 B.464.74 C.564.54 D.589.63
答案 D
解析 考生应掌握价差预备费的计算公式,并且应注意价差预备费的计算基数为静态投资。

相关内容:建设项目,工程费,7200万元,工程建设,1800万元,预备费,400万元,项目,前期,年限,建设,年度,投资,计划,比例

猜你喜欢

发表评论
更多 网友评论0 条评论)
暂无评论

访问排行

Copyright © 2012-2014 恰考网 Inc. 保留所有权利。 Powered by tikuer.com

页面耗时0.0507秒, 内存占用1.05 MB, Cache:redis,访问数据库20次