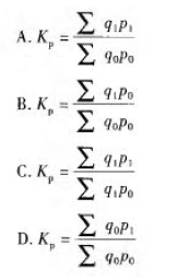
假设q1、p1分别表示报告期的采购数量与价格,q0、p0分别表示基期的采购数量与价格,则派氏综合指数为( )。

作者: tihaiku 人气: - 评论: 0
问题 假设q1、p1分别表示报告期的采购数量与价格,q0、p0分别表示基期的采购数量与价格,则派氏综合指数为( )。
选项
答案 C
解析

相关内容:假设,报告期,采购,数量,价格,基期,派氏,综合,指数

猜你喜欢

发表评论
更多 网友评论0 条评论)
暂无评论

访问排行

Copyright © 2012-2014 恰考网 Inc. 保留所有权利。 Powered by tikuer.com

页面耗时0.0304秒, 内存占用1.05 MB, Cache:redis,访问数据库20次