某新建项目,建设期为3年,分年度贷款,第一年贷款600万元,第二年贷款900万元,第三年贷款500万元,年利率为6% ,计算建设期利息。

作者: tihaiku 人气: - 评论: 0
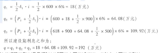
问题 某新建项目,建设期为3年,分年度贷款,第一年贷款600万元,第二年贷款900万元,第三年贷款500万元,年利率为6% ,计算建设期利息。
选项
答案
解析 在建设期,各年利息计算如下: 价差预备费和建设期利息是随时间的变化而变化的费用,故称为动态投资部分。

相关内容:项目,建设,年度,贷款,第一年,600万元,第二年,900万元,第三年,500万元,年利率,利息

猜你喜欢

发表评论
更多 网友评论0 条评论)
暂无评论

访问排行

Copyright © 2012-2014 恰考网 Inc. 保留所有权利。 Powered by tikuer.com

页面耗时0.0300秒, 内存占用1.05 MB, Cache:redis,访问数据库18次