有甲、乙两瓶盐水,其浓度分别为16%和25%;质量分别为600克和240克。若向这两瓶溶液中加入等量水,使他们的浓度相同,则需向这两瓶盐水中分别加入的水量...

作者: rantiku 人气: - 评论: 0
问题 有甲、乙两瓶盐水,其浓度分别为16%和25%;质量分别为600克和240克。若向这两瓶溶液中加入等量水,使他们的浓度相同,则需向这两瓶盐水中分别加入的水量为: A.320 克 B.360 克 C.370 克 D.377 克
选项
答案 B
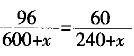
解析 开始时,甲中溶质质量为16%x600=96克,乙中溶质质量为25%x240=60克,加水后溶质 质量不变。最后浓度相等,设加水x克,则,解得x=360。

猜你喜欢

发表评论
更多 网友评论0 条评论)
暂无评论

访问排行

Copyright © 2012-2014 恰考网 Inc. 保留所有权利。 Powered by tikuer.com

页面耗时0.0469秒, 内存占用1.03 MB, Cache:redis,访问数据库20次