2003年以来,全国农业现代物质技术装备水平不断改善,农业生产水平持续提高。2011年全国农用机械总动力97735万千瓦,比2002年增长68.7%,年均...

作者: rantiku 人气: - 评论: 0
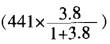
问题 2003年以来,全国农业现代物质技术装备水平不断改善,农业生产水平持续提高。2011年全国农用机械总动力97735万千瓦,比2002年增长68.7%,年均增长6.0%;大中型拖拉机441 万台,比2002年增长3.8倍,年均增长19.1%;小型拖拉机1811万台,比2002年增长35.2%,年均增长3.4%;联合收割机111万台,比2002年增长2.6倍,年均增长15.3%。 2011年全国农作物耕种收综合机械化率达到54.5%,比2005年提高18.6个百分点。2011 年全国粮食产量57121万吨,人均粮食产量为425公斤,超过国家粮食安全标准25公斤,比2002年增长19.1%,年均增长2.0%;人均棉花、油料、糖料产量分别为5公斤、25公斤和93公斤,比2002增长了 27.7%、8.8%和15.9%,年均分别增长2.8%,0.9%和1.7%;人均猪牛羊肉、禽蛋、牛奶和水产品分别为45公斤、21公斤、27公斤和42公斤,比2002年分别增长17.8%、 18.2%、166.8%和35.0%,年均分别增长1.8%、1.9%、11.5%和3.4%。2011年平均每亩粮食产量达到344公斤,比2002年提高了 51公斤,增长17.4%,其中,稻谷亩产量为446公斤,提高33公斤,增长8.1%;小麦322公斤,提高71公斤,增长28.1%;玉米383公斤,增长16.7%。2011年平均每个农业劳动力的粮食产量为2148公斤,比2002年增长72.2%,年均增幅为6.2%。 与2002年相比,全国农用机械数量增加最多的是: A.中型拖拉机 B.小型拖拉机 C.联合收割机 D.大型拖拉机
选项
答案 B
解析 根据材料第一段,各选项的增加量分别为:大中型拖拉机万台,小型拖拉

猜你喜欢

发表评论
更多 网友评论0 条评论)
暂无评论

访问排行

Copyright © 2012-2014 恰考网 Inc. 保留所有权利。 Powered by tikuer.com

页面耗时0.0839秒, 内存占用1.04 MB, Cache:redis,访问数据库19次