作者: rantiku 人气: - 评论: 0
问题
选项
答案 A
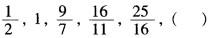
解析 将1改写为,分子1、4、9、16、25、(36)是平方数列,分母2、4、7,11、16、(22)是二级等差数列,所填分数为

相关内容:

猜你喜欢

发表评论
更多 网友评论0 条评论)
暂无评论

访问排行

Copyright © 2012-2014 恰考网 Inc. 保留所有权利。 Powered by tikuer.com

页面耗时0.0387秒, 内存占用1.01 MB, Cache:redis,访问数据库20次