现需购买两种调料加工成一种新调料,两种调料的价格分别为20元/千克、30元/千克,如果购买这两种调料所花钱一样多,则每千克新调料的成本是: A.2...

作者: rantiku 人气: - 评论: 0
问题 现需购买两种调料加工成一种新调料,两种调料的价格分别为20元/千克、30元/千克,如果购买这两种调料所花钱一样多,则每千克新调料的成本是: A.23 元 B.25 元 C.24 元 D.29 元
选项
答案 C
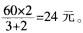
解析 假设每种调料都花去60元,则两种调料分别买3千克、2千克,则新调料的成本为

猜你喜欢

发表评论
更多 网友评论0 条评论)
暂无评论

访问排行

Copyright © 2012-2014 恰考网 Inc. 保留所有权利。 Powered by tikuer.com

页面耗时0.0339秒, 内存占用1.03 MB, Cache:redis,访问数据库20次