作者: rantiku 人气: - 评论: 0
问题
选项
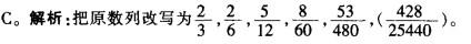
答案 C
解析 分子=前项分母-前项分子+1,因此下一项分子为480-53+1=(428)。 分母=前项分子X前项分母,因此下一项分母为53x480=(25440)。

相关内容:

猜你喜欢

发表评论
更多 网友评论0 条评论)
暂无评论

访问排行

Copyright © 2012-2014 恰考网 Inc. 保留所有权利。 Powered by tikuer.com

页面耗时0.0648秒, 内存占用1.01 MB, Cache:redis,访问数据库19次