10,12,15,20,30,()A.60 B.45 C.35 D.76

作者: rantiku 人气: - 评论: 0
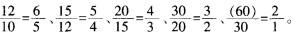
问题 10,12,15,20,30,() A.60 B.45 C.35 D.76
选项
答案 A
解析 后项除以前项的商为

猜你喜欢

发表评论
更多 网友评论0 条评论)
暂无评论

访问排行

Copyright © 2012-2014 恰考网 Inc. 保留所有权利。 Powered by tikuer.com

页面耗时0.0569秒, 内存占用1.03 MB, Cache:redis,访问数据库15次