某大学军训,军训部将学员编成8个小组,如果每组人数比预定人数多1人,那么学员总数将超过100人,如果每组人数比预定人数少1人,那么学员总数将不到90人。由...

作者: rantiku 人气: - 评论: 0
问题 某大学军训,军训部将学员编成8个小组,如果每组人数比预定人数多1人,那么学员总数将超过100人,如果每组人数比预定人数少1人,那么学员总数将不到90人。由此可知,预定的每组学员人数是( ) A.10人 B.11人 C.13人 D.12人
选项
答案 D
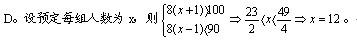
解析

猜你喜欢

发表评论
更多 网友评论0 条评论)
暂无评论

访问排行

Copyright © 2012-2014 恰考网 Inc. 保留所有权利。 Powered by tikuer.com

页面耗时0.0507秒, 内存占用1.03 MB, Cache:redis,访问数据库20次