有一个边长为2a的正三角形,将其各边中点相连得到第二个三角形,那么连接到第四次时,得到的三角形的面积为( )。

作者: rantiku 人气: - 评论: 0
问题 有一个边长为2a的正三角形,将其各边中点相连得到第二个三角形,那么连接到第四次时,得到的三角形的面积为( )。
选项
答案 B
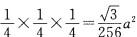
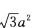
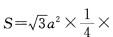
解析 已知该正三角形的边长为2a,则面积为;由于连接一次中点所得的三角形面积是原来三角形面积的,因此,连接到第四次时所得到的三角形面积,B项正确。

猜你喜欢

发表评论
更多 网友评论0 条评论)
暂无评论
错误啦!

错误信息

  • 消息: [程序异常] : MISCONF Redis is configured to save RDB snapshots, but it's currently unable to persist to disk. Commands that may modify the data set are disabled, because this instance is configured to report errors during writes if RDB snapshotting fails (stop-writes-on-bgsave-error option). Please check the Redis logs for details about the RDB error.
  • 文件: /twcms/kongphp/cache/cache_redis.class.php
  • 位置: 第 85 行
    <?php echo 'KongPHP, Road to Jane.'; ?>