A.3或4 B.1或2 C.1或3 D.2或4

作者: tihaiku 人气: - 评论: 0
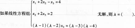
问题
选项 A.3或4 B.1或2 C.1或3 D.2或4
答案 B
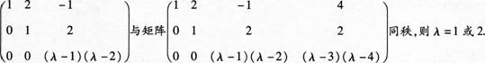
解析 若线性方程组无解,则其系数矩阵的秩小于其增广矩阵的秩,即矩阵
  • 上一篇:
  • 下一篇:

猜你喜欢

发表评论
更多 网友评论0 条评论)
暂无评论

Copyright © 2012-2014 恰考网 Inc. 保留所有权利。 Powered by tikuer.com

页面耗时0.0357秒, 内存占用1.02 MB, Cache:redis,访问数据库17次