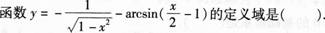
A.(-1,1) B.[0,4] C.[0,1) D.[0,1]

作者: tihaiku 人气: - 评论: 0
问题
选项 A.(-1,1) B.[0,4] C.[0,1) D.[0,1]
答案 C
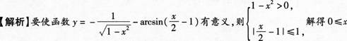
解析 <1,故函数的定义域为[0,1).

猜你喜欢

发表评论
更多 网友评论0 条评论)
暂无评论

Copyright © 2012-2014 恰考网 Inc. 保留所有权利。 Powered by tikuer.com

页面耗时0.0709秒, 内存占用1.02 MB, Cache:redis,访问数据库19次