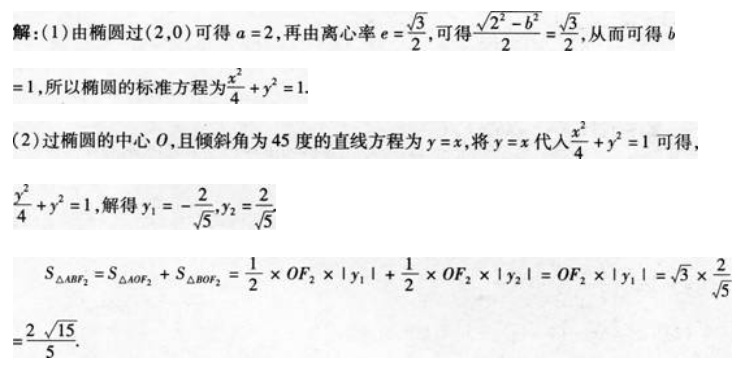
(1)求椭圆的标准方程; (2)F2为椭圆的右焦点,过椭圆的中心作一条倾斜角为45°的直线与椭圆交于A、B两点,求△ABF2的面积.

作者: tihaiku 人气: - 评论: 0
问题 (1)求椭圆的标准方程; (2)F2为椭圆的右焦点,过椭圆的中心作一条倾斜角为45°的直线与椭圆交于A、B两点,求△ABF2的面积.
选项
答案
解析

猜你喜欢

发表评论
更多 网友评论0 条评论)
暂无评论

Copyright © 2012-2014 恰考网 Inc. 保留所有权利。 Powered by tikuer.com

页面耗时0.0429秒, 内存占用1.03 MB, Cache:redis,访问数据库13次