已知等差数列{an}中,a1=21,Sn是它的前n项之和,S7=S15。 (1)求Sn; (2)这个数列的前多少项之和最大 求出最大值。

作者: tihaiku 人气: - 评论: 0
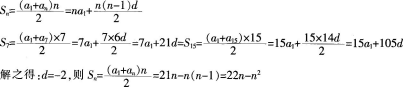
问题 已知等差数列{an}中,a1=21,Sn是它的前n项之和,S7=S15。 (1)求Sn; (2)这个数列的前多少项之和最大 求出最大值。
选项
答案
解析 (1)设等差数列的公差为d,由题意可得: (2)Sn=22n-n2=-(n-11)2+121,当n=11时,数列之和最大,最大值为121。

猜你喜欢

发表评论
更多 网友评论0 条评论)
暂无评论
错误啦!

错误信息

  • 消息: [程序异常] : MISCONF Redis is configured to save RDB snapshots, but it's currently unable to persist to disk. Commands that may modify the data set are disabled, because this instance is configured to report errors during writes if RDB snapshotting fails (stop-writes-on-bgsave-error option). Please check the Redis logs for details about the RDB error.
  • 文件: /twcms/kongphp/cache/cache_redis.class.php
  • 位置: 第 85 行
    <?php echo 'KongPHP, Road to Jane.'; ?>